Перейти к основному содержанию
Объединяем лучшее, воплощаем в надежное!

010000, РК, г. Астана,
ул. Динмухамеда Кунаева 33,
офис 1003
Метка на карте

MJB-A представляет собой инновационный ряд прочных, универсальных трубчатых рукавных фильтров, которые основываются на опыте хорошо зарекомендовавших себя рукавных фильтров MJB.

Объединив преимущества двухступенчатых очистительных клапанов погружного типа с запатентованной технологией UniClean, максимальная эффективность очистки достигается при очень низком потреблении энергии и минимальном обслуживании. Весь доступ для обслуживания находится от верхней части устройства.

Модульная конструкция с несколькими вариантами сборки болтов оптимизирована для транспортировки по дороге или морским контейнером. Он также обеспечивает максимальную гибкость на месте, в зависимости от имеющихся возможностей.

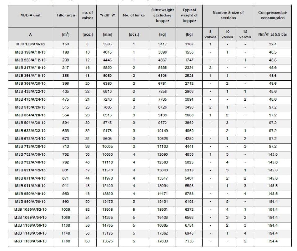
Размеры фильтров от 295 м² до 1770 м² доступны в виде предварительно собранных блоков. Модульная конструкция позволяет собирать более крупные блоки, а также, при необходимости, расширять существующие блоки.

Особенности:

  • Прочная стальная конструкция
  • Универсальная модульная конструкция
  • Прогноз погоды для открытых мест
  • Вариант грязной воздушной камеры с плоской упаковкой для эффективной транспортировки автомобильным или морским контейнером.
  • Может быть расширено или перемещено, если потребуется
  • Эффективная очистка с использованием запатентованной технологии UniClean
  • Интегральная секция предварительного разделения
  • Расход воздуха на входе / поперечном потоке для максимальной загрузки пыли
  • Низкое техническое обслуживание, с доступом от устройства вверх
  • Доступны две длины мешков
  • Более высокие температурные параметры, включая тепловое нагревание и изоляцию
  • ATEX соответствует взрывоопасной пыли 
TechnicalData
Сертификация CE, EX
Установка Внутри помещения
Подходит для взрывоопасной пыли Yes
Метод очистки фильтра Compressed air
Применение пыль
Площадь фильтра (м²) От 233 до 1870
Производительность (макс. воздушный поток м3/час) 190000
Рабочая температура Максимум. 220˚ C
Тип фильтра Рукавный фильтр